国家各网站
甘肃省网站
张掖市网站
其他链接
索引号: 6207250030/2025-00241
文号:
关键词:
发布机构: 位奇镇
公开形式: 主动公开
公开目录:
生成日期: 2025-09-18 16:33:06
有效性: 是
| 索引号 | 6207250030/2025-00241 | 发文字号 | |
| 关键词 | 发布机构 | 位奇镇 | |
| 公开形式 | 主动公开 | 公开目录 | |
| 生成日期 | 2025-09-18 16:33:06 | 是否有效 | 是 |
2024年度
山丹县财政局位奇财政所部门决算
目 录
第一部分 部门概况
一、部门职责
二、机构设置
第二部分 2024年度部门决算表
一、收入支出决算总表
二、收入决算表
三、支出决算表
四、财政拨款收入支出决算总表
五、一般公共预算财政拨款支出决算表
六、一般公共预算财政拨款基本支出决算明细表
七、政府性基金预算财政拨款收入支出决算表
八、国有资本经营预算财政拨款支出决算表
九、财政拨款“三公”经费支出决算表
第三部分 2024年度部门决算情况说明
一、收入支出决算总体情况说明
二、收入决算情况说明
三、支出决算情况说明
四、财政拨款收入支出决算总体情况说明
五、一般公共预算财政拨款支出决算情况说明
六、一般公共预算财政拨款基本支出决算情况说明
七、政府性基金预算财政拨款收支决算情况说明
八、国有资本经营预算财政拨款支出情况说明
九、财政拨款“三公”经费支出决算情况说明
十、机关运行经费支出情况说明
十一、政府采购支出情况说明
十二、国有资产占用情况说明
十三、其他需要说明的情况
第四部分 预算绩效情况说明
第五部分 名词解释
第一部分部门概况
一、部门职责
(一)宣传、落实好党的路线、方针、政策和国家的法律、法规,稳定农村基本经济制度,坚持依法行政,推进政务公开,加强对村民委员会的指导,提高、培育村民委员会自治能力。执行本行政区域内的经济和社会发展计划、预算,管理本行政区域内的经济、教育、科学、文化、卫生、体育事业和财政、民政、司法行政、计划生育等行政工作。执行县委、县政府的决定;执行本镇党员代表大会(党员大会)和人大会议决议。
(二)科学制定发展规划,营造农村经济发展环境,加强农村市场监督,培育、提升市场功能,搞活市场流通,推广农业技术,完善农业社会化服务体系,引导农民发展现代农业,调整产业结构,加强农村劳动力技能培训,引导农村劳动力转移和就业,不断提高社会主义新农村建设水平。
(三)加强民政、教育、科技、文化、卫生、计划生育、安全生产、劳动保障和乡村规划等社会管理,加强社会主义精神文明建设,加强环境保护,努力改善农村人居环境,不断提高农村人口素质和农民生活质量。
(四)坚持“立党为公,执政为民”,紧紧围绕实现和维护群众利益开展工作,突出解决人民群众最关心、最直接、最现实的利益问题。加强和巩固农村基层政权建设和民主法治建设,加强社会治安综合治理,加强对突发事件的预警和管理,建立、健全各种应急机制,加强民事纠纷调解,化解农村社会矛盾,开展农村扶贫和社会救助,切实保障农民合法权益,维护农村社会稳定。
(五)进一步发展和完善农业社会化服务体系,引导各类协会和农村专业合作经济组织发展农村社会公益事业和集体公益事业。加强农村基础设施建设,增加公共产品,提供政策、科技、市场信息和社会救济、救助服务,及时向上级党委、政府反映社情民意,进一步密切党群关系。
(六)负责镇域公共卫生环境,做好范围内主次干道的保洁、降尘、果壳箱的清掏、垃圾清运、集中处理工作。
(七)负责辖区药品、医疗器械、保健食品、化妆品、餐饮服务环节食品安全等相关产品及经营使用单位许可的申请受理、初审上报、现场复核、现场监督检测、采样等工作。
(八)承办县委、县政府交办的其他事项。
二、机构设置
(一)机关内设机构
镇政府党政机构设置为党政综合办公室、党建工作办公室、经济发展和社会事务办公室、平安法治办公室。
(二)直属事业单位
事业单位分别为:农业农村综合服务中心、党群服务中心、镇文化服务中心、综合行政执法队。
第二部分 2024年度部门决算表
一、收入支出决算总表

二、收入决算表

三、支出决算表

四、财政拨款收入支出决算总表

五、一般公共预算财政拨款支出决算表

六、一般公共预算财政拨款基本支出决算明细表

七、政府性基金预算财政拨款收入支出决算表

八、国有资本经营预算财政拨款支出决算表

九、财政拨款“三公”经费支出决算表

第三部分 2024年度部门决算情况说明
一、收入支出决算总体情况说明
2024年度收、支总计均为1588.67万元。与上年度相比,收、支总计各减少1446.92万元,下降47.67%,主要原因是本年度财政拨款项目减少。
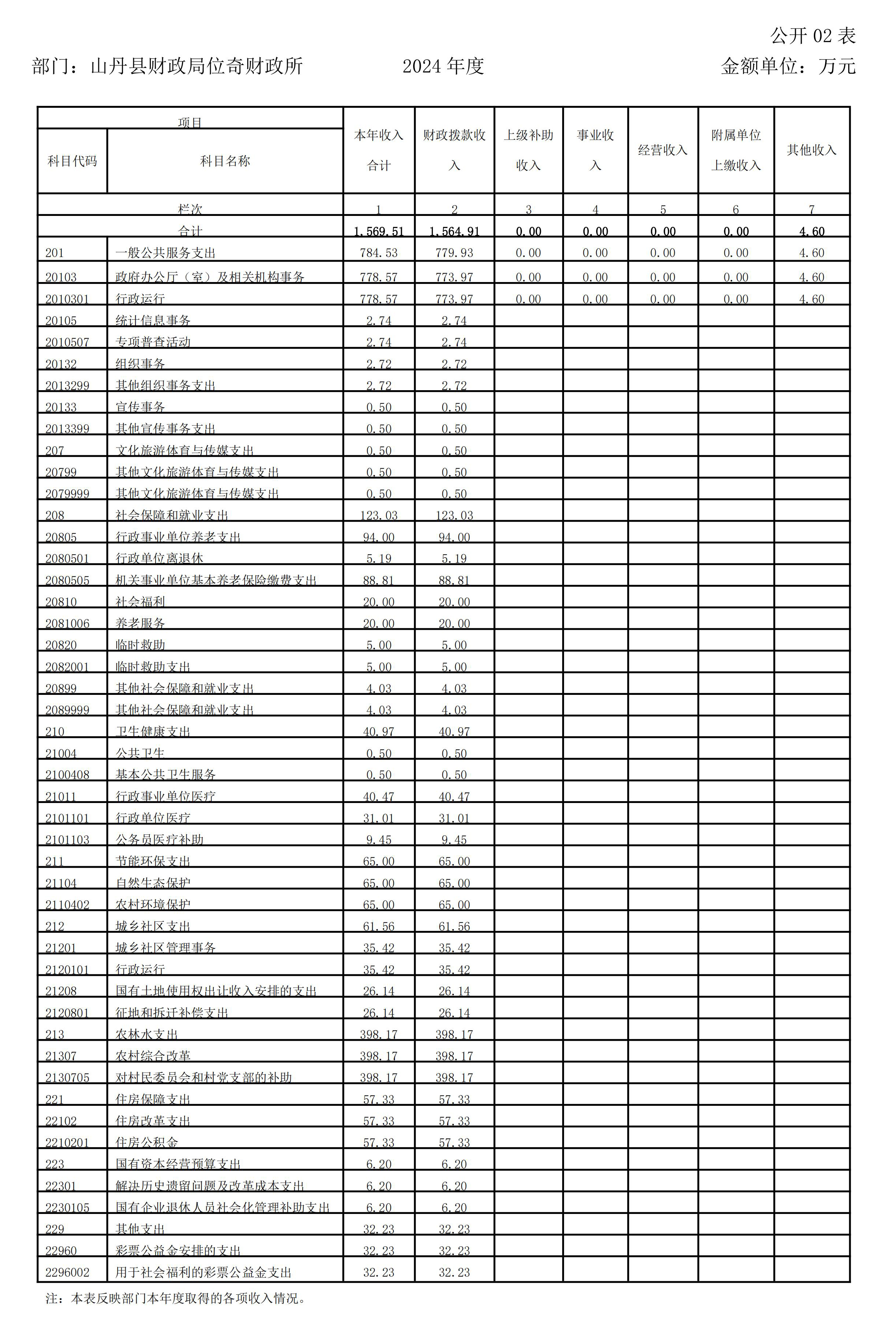
二、收入决算情况说明
2024年度收入合计1569.51万元,其中:财政拨款收入1564.91万元,占99.71%;其他收入4.60万元,占0.29%。
三、支出决算情况说明
2024年度支出合计1588.65万元,其中:基本支出920.93万元,占57.97%;项目支出667.72万元,占42.03%。
四、财政拨款收入支出决算总体情况说明
2024年度财政拨款收、支总计均为1564.91万元。与上年相比,各减少1430.65万元,下降47.76%。主要原因是本年度财政拨款项目减少。
五、一般公共预算财政拨款支出决算情况说明
(一)一般公共预算财政拨款支出决算总体情况
2024年度一般公共预算财政拨款支出1500.34万元,较上年决算数减少1495.23万元,下降49.91%。主要原因是本年度财政拨款项目减少。
(二)一般公共预算财政拨款支出决算结构情况
2024年度一般公共预算财政拨款支出1500.34万元,主要用于以下方面:一般公共服务支出779.93万元,占51.98%;文化旅游体育与传媒支出0.50万元,占0.03%;社会保障和就业支出123.03万元,占8.20%;卫生健康支出40.97万元,占2.73%;节能环保支出65.00万元,占4.33%;城乡社区支出35.42万元,占2.36%;农林水支出398.17万元,占26.54%;住房保障支出57.33万元,占3.82%。
(三)一般公共预算财政拨款支出决算具体情况
2024年度一般公共预算财政拨款支出年初预算为1323.97万元,支出决算为1500.34万元,完成年初预算的113.32%。其中:
1.一般公共服务支出年初预算数为708.61万元,支出决算为779.93万元,完成年初预算的110.06%,决算数大于预算数的主要原因是单位人员变动,相关经费增加。
2.文化旅游体育与传媒支出年初预算数为0.50万元,支出决算为0.50万元,完成年初预算的100%,决算数与预算数相比无变化。
3.社会保障和就业支出年初预算数为84.52万元,支出决算为123.03万元,完成年初预算的145.55%,决算数大于预算数的主要原因是社保基数调整及人员变动。
4.卫生健康支出年初预算数为44.82万元,支出决算为40.97万元,完成年初预算的91.40%,决算数小于预算数的主要原因是医保基数调整及人员变动。
5.节能环保支出年初预算数为65.00万元,支出决算为65.00万元,完成年初预算的100%,决算数与预算数相比无变化。
6.城乡社区支出年初预算数为5.00万元,支出决算为35.42万元,完成年初预算的708.35%,决算数大于预算数的主要原因是征地和拆迁补偿支出增加。
7.农林水支出年初预算数为417.32万元,支出决算为398.17万元,完成年初预算的95.41%,决算数小于预算数的主要原因是本年度项目资金支出减少。
8.住房保障支出年初预算数为63.70万元,支出决算为57.33万元,完成年初预算的90.00%,决算数小于预算数的主要原因是住房公积金基数调整及人员变动。
六、一般公共预算财政拨款基本支出决算情况说明
2024年度一般公共预算财政拨款基本支出916.34万元。其中:
人员经费825.02万元,较上年决算数增加4.72万元,增长0.58%,主要原因工资和福利支出增多。人员经费用途主要包括基本工资、津贴补贴、奖金、绩效工资、社会保障缴费、住房公积金、生活补助等。
公用经费91.33万元,较上年决算数增加52.80万元,增长137.02%,主要原因是业务需求量增加,水电及维护费支出增多。公用经费用途主要包括办公费、印刷费、水费、电费、取暖费、邮电费、劳务费、维修(护)费、其他交通费用。
七、政府性基金预算财政拨款收支决算情况说明
2024年度政府性基金预算财政拨款年初结转和结余0.00万元,本年收入58.38万元,本年支出58.38万元,年末结转和结余0.00万元,支出具体情况如下:征地和拆迁补偿支出26.14万元、用于社会福利的彩票公益金支出32.24万元。
八、国有资本经营预算财政拨款支出情况说明
2024年度国有资本经营预算财政拨款本年支出6.20万元,主要用于农场社区退休老人社会化服务中心休息室维修改造项目。
九、财政拨款“三公”经费支出决算情况说明
(一)“三公”经费财政拨款支出总体情况说明
2024年度“三公”经费支出全年预算数为1.00万元,支出决算为1.00万元,决算数等于预算数的主要原因是我单位严格按照预算安排使用“三公”经费,在公务接待、因公出国(境)、公务用车等方面,提前做好规划,每一笔支出都在预算框架内,未出现超预算的情况,较上年决算数增加0.36万元,增长56.38%,主要原因是本年度因业务发展需要,公务接待次数和规模有所增加,导致公务接待费支出上升。
(二)“三公”经费财政拨款支出决算具体情况说明
1.因公出国(境)费用全年预算数为0.00万元,支出决算为0.00万元。
2.公务用车购置及运行维护费全年预算数为0.00万元,支出决算为0.00万元。
其中:(1)公务用车购置费全年预算数为0.00万元,支出决算为0.00万元;(2)公务用车运行维护费全年预算数为0.00万元,支出决算为0.00万元;(3)公务接待费全年预算数为1.00万元,支出决算为1.00万元,决算数等于预算数的主要原因是严格按照预算安排使用“三公”经费,在公务接待、因公出国(境)、公务用车等方面,提前做好规划,每一笔支出都在预算框架内,未出现超预算的情况,较上年决算数增加0.36万元,增长56.38%,主要原因是本年度公务接待次数和规模有所增加,导致公务接待费支出上升。
(三)“三公”经费财政拨款支出决算实物量情况
2024年度本部门因公出国(境)共计0.00个团组,0.00人;公务用车购置0.00辆,公务用车保有量为0.00辆;国内公务接待2批次108人,其中:外事接待0.00批次,0.00人;国(境)外公务接待0.00批次,0.00人。
十、机关运行经费支出情况说明
2024年度本部门机关运行经费支出91.33万元,机关运行经费主要用于开支办公费、印刷费、水费、电费、取暖费、邮电费、劳务费、维修(护)费、其他交通费用。机关运行经费较上年决算数增加52.80万元,增长137.02%,主要原因是资产运行维护支出增加、人员编制数量增加政府运行经费增大。
本年度会议费支出0.00万元,较上年决算数持平。本年度培训费支出0.90万元,较上年决算数减少1.10万元,下降54.80%,主要原因是本年度严格落实过紧日子要求,对培训活动进行了精简优化。
十一、政府采购支出情况说明
我单位2024年度无政府采购相关经费。
十二、国有资产占用情况说明
截至2024年12月31日,本部门共有车辆1辆,其中,副部(省)级及以上领导用车0辆、主要领导干部用车0辆、机要通信用车0辆、应急保障用车0辆、执法执勤用车0辆,特种专业技术用车0辆,离退休干部用车0辆,其他用车1辆,其他用车主要是用于垃圾清运。单价100万元(含)以上设备0台(套)。
十三、其他需要说明的情况
由于决算公开表格中金额数值应当保留两位小数,公开数据为四舍五入计算结果,个别数据合计项与分项之和存在小数点后差额,特此说明。
第四部分 预算绩效情况说明
一、预算绩效管理工作开展情况
按照预算绩效管理要求,本部门对2024年度一般公共预算项目支出全面开展绩效自评,一级项目23个,涉及资金650.06万元,占一般公共预算项目支出总额的100%。对2024年度G312线国道东段两侧造林绿化工程、老年助残服务补助资金进行二次分配等5个政府性基金预算项目开展绩效自评,共涉及资金58.38万元,占政府性基金预算项目支出总额的100%。组织对2024年度国有企业退休人员社会化管理补助等1个国有资本经营预算项目开展绩效自评,共涉及资金6.2万元,占国有资本经营预算项目支出总额的100%。组织对位奇镇2024年中央集中福利彩票公益金支持社会福利事业专项资金、G312线国道东段两侧造林绿化工程、位奇镇环境整治及河道治理资金等23个项目开展了部门重点评价,涉及一般公共预算支出585.48万元,政府性基金预算支出58.38万元,国有资本经营预算支出6.2万元。从评价情况来看,各预算项目整体执行情况良好,在推动重点工作、保障民生服务等方面发挥了积极作用。
二、绩效自评结果
我部门在2024年度部门决算中反映第五次全国经济普查专项资金办公经费、2024年基本公共卫生服务中央补助资金(优化生育政策相关服务项目)等23个项目绩效自评结果。
1.“第五次全国经济普查专项资金办公经费”项目绩效自评情况:根据年初设定的绩效目标,项目绩效自评得分为98分。项目全年预算数为1.5万元,执行数为1.5万元,完成预算的100%。项目绩效目标完成情况:一是保障了第五次全国经济普查办公所需的基本物资与服务供应,助力普查工作顺利开展;二是办公经费使用规范,手续齐全,账目清晰。发现的主要问题及原因:一是经费拨付使用在部分环节的审批效率还有提升空间;二是社会效益方面还有待提升。下一步改进措施:一是简化经费使用审批流程,明确各环节时限与责任;二是深入调研社会群体的需求,加强宣传引导。第五次全国经济普查专项资金办公经费项目绩效自评情况:该项目自评得分98分,经济成本控制率达到100%,资金使用合规,拨付及时,能够有效提升基层财政服务能力,受益对象满意度较高。
2.“2024年基本公共卫生服务中央补助资金(优化生育政策相关服务项目)”项目绩效自评情况:根据年初设定的绩效目标,项目绩效自评得分为97.2分。项目全年预算数为0.5万元,执行数为0.5万元,完成预算的100%。项目绩效目标完成情况:一是成本控制良好,各项指标均按年度指标完成,为项目开展提供了有力支撑;二是产出成果显著,资金利用率、到位率及项目完成及时率等均达到100%,保障了项目高效推进。发现的主要问题及原因:社会效益指标中,保证各项工作正常开展的实际成效距“正常保障”的目标存在不足,部分工作环节的衔接和保障力度还需加强。下一步改进措施:优化工作保障机制,对工作流程和保障措施进行梳理完善,确保各项工作都能得到充分且有效的保障。2024年基本公共卫生服务中央补助资金(优化生育政策相关服务项目)项目绩效自评情况:该项目自评得分97.2分,经济成本控制率达到100%,资金使用合规,拨付及时,能够保证各项工作正常开展,有效提升服务对象生活水平,群众满意度较高。
3.“2024年中央集中福利彩票公益金支持社会福利事业专项资金”项目绩效自评情况:根据年初设定的绩效目标,项目绩效自评得分为97.45分。项目全年预算数为20万元,执行数为20万元,完成预算的100%。项目绩效目标完成情况:一是成本指标均达到预期目标,为项目开展筑牢基础;二是资金利用率、到位率、项目完成及时率均为100%,确保项目高效落地。发现的主要问题及原因:一是经济效益指标上,在经济价值挖掘上力度不足。二是社会效益指标中,保证工作正常开展的保障力度有待提升,部分工作环节协调不够顺畅。下一步改进措施:一是在项目开展中,探索结合公共服务与经济价值创造的途径,开展相关增值服务。二是优化工作保障机制,明确各环节责任,加强部门间协作。2024年中央集中福利彩票公益金支持社会福利事业专项资金项目绩效自评情况:该项目自评得分97.45分,经济成本控制率达到100%,资金使用合规,拨付及时,能够有效提升农村养老幸福指数,服务对象满意度较高。
4.“2024年中央支持地方公共文化服务体系建设补助资金(新时代文明实践中心建设项目)”项目绩效自评情况:根据年初设定的绩效目标,项目绩效自评得分为97.8分。项目全年预算数为0.5万元,执行数为0.5万元,完成预算的100%。项目绩效目标完成情况:一是成本指标表现优异,各项指标均达预期目标,提供了有力成本保障;二是产出指标完成良好,按用途使用资金率、及时率达到100%。发现的主要问题及原因:一是经济效益指标中强化资金保障的作用还有提升空间;二是社会效益指标里提高志愿服务效能的持续性不足,志愿服务队伍的稳定性和活动的常态化开展有待加强。下一步改进措施:一是制定资金长期使用规划,结合长期发展目标,合理安排资金投入;二是加强志愿服务队伍建设,建立激励机制,保障志愿服务活动常态化、持续化开展。2024年中央支持地方公共文化服务体系建设补助资金(新时代文明实践中心建设项目)项目绩效自评情况:该项目自评得分97.8分,经济成本控制率达到100%,资金使用合规,拨付及时,能够强化资金保障,提高志愿服务效能,服务对象满意度较高。
5.“G312线国道东段两侧造林绿化工程”项目绩效自评情况:根据年初设定的绩效目标,项目绩效自评得分为98分。项目全年预算数为26.14万元,执行数为26.14万元,完成预算的100%。项目绩效目标完成情况:一是成本指标控制精准,为工程开展提供了充足且匹配的资金支持;二是产出指标表现突出,资金发放完成率、发放标准符合率、发放及时性均为100%,保障了征地拆迁工作高效、规范推进。发现的主要问题及原因:经济效益指标中,对群众生活生产的改善或提升程度还有差距。下一步改进措施:增强对群众生活生产的改善提升作用。G312线国道东段两侧造林绿化工程项目绩效自评情况:该项目自评得分98分,经济成本控制额达到预期目标,资金发放合规,拨付及时,能够实现拆迁和安置的有效衔接,提升群众生产生活水平,群众满意度较高。
6.“村干部报酬”项目绩效自评情况:根据年初设定的绩效目标,项目绩效自评得分为94.7分。项目全年预算数为313.17万元,执行数为313.17万元,完成预算的100%。项目绩效目标完成情况:一是成本指标均达到预期目标,为村干部报酬发放及相关保障工作筑牢基础;二是产出指标表现良好,支出合规性及资金拨付有效率也达预期,保障了报酬发放工作规范、高效开展。发现的主要问题及原因:社会效益指标里,提高基层党组织服务群众能力的影响程度未达“影响程度明显”的目标。下一步改进措施:加大对村干部服务群众能力的培训力度。村干部报酬项目绩效自评情况:该项目自评得分94.7分,经济成本控制额达到预期目标,资金发放合规,拨付及时,提高了基层党组织服务群众能力及干部生活水平,村干部满意度较高。
7.“村级办公经费”项目绩效自评情况:根据年初设定的绩效目标,项目绩效自评得分为96.67分。项目全年预算数为85万元,执行数为85万元,完成预算的100%。项目绩效目标完成情况:一是成本指标完成较好,为村级办公提供了有力资金支持;二是经费报账及时,保障了资金使用的及时性。发现的主要问题及原因:产出指标中村级办公经费在经费使用的细节规范上还有欠缺。下一步改进措施:加强对村级经费使用人员的培训,深入讲解经费使用规定,确保经费使用合规。村级办公经费项目绩效自评情况:该项目自评得分96.67分,经济成本控制额达到预期目标,资金发放合规,拨付及时,有效提高了基层治理能力,群众满意度较高。
8.“甘财行【2023】51号--第五次全国经济普查补助经费”项目绩效自评情况:根据年初设定的绩效目标,项目绩效自评得分为94.66分。项目全年预算数为1.24万元,执行数为1.24万元,完成预算的100%。项目绩效目标完成情况:一是成本指标完成较好,为经济普查工作开展提供了资金保障;二是产出指标表现良好,保障了普查工作的质量、数据准确性和及时性。发现的主要问题及原因:部分产出指标中普查工作在细节质量和时效把控上还有提升空间。下一步改进措施:在后续普查工作中,加强对细节质量和时效的把控,进一步提升普查工作水平。甘财行【2023】51号--第五次全国经济普查补助经费项目绩效自评情况:该项目自评得分94.66分,经济成本控制额达到预期目标,资金拨付及时,社会影响力较强,群众满意度较高。
9.“国有企业退休人员社会化管理补助”项目绩效自评情况:根据年初设定的绩效目标,项目绩效自评得分为93.99分。项目全年预算数为6.2万元,执行数为6.2万元,完成预算的100%。项目绩效目标完成情况:一是成本指标完成情况良好,为退休人员相关服务提供了成本保障。二是产出指标表现较好,保障了资金使用的合规与及时。发现的主要问题及原因:资金使用的效能还有提升空间。下一步改进措施:优化补助资金使用方向,加强国有企业退休人员社会化管理的宣传,拓展社会价值和影响力,进一步提升资金使用效能。国有企业退休人员社会化管理补助项目绩效自评情况:该项目自评得分93.99分,经济成本利用率达到100%,资金使用合规,拨付及时,有效提高了退休人员的生活水平,受益对象满意度较高。
10.“经济指标奖励”项目绩效自评情况:根据年初设定的绩效目标,项目绩效自评得分为94.66分。项目全年预算数为10万元,执行数为10万元,完成预算的100%。项目绩效目标完成情况:一是成本指标达成较好,提供了充足资金支持;二是产出指标表现良好,保障了奖励工作的质量和及时性。发现的主要问题及原因:效益指标中,经济效益、社会效益及生态效益离目标还有差距。下一步改进措施:一是优化奖励资金的使用方式;提高各项效益指标。经济指标奖励项目绩效自评情况:该项目自评得分94.66分,经济成本控制额达到10万元,各项效益指标均达到预期目标,受益对象满意度较高。
11.“困难群众救助资金”项目绩效自评情况:根据年初设定的绩效目标,项目绩效自评得分为96.67分。项目全年预算数为5万元,执行数为5万元,完成预算的100%。项目绩效目标完成情况:一是成本指标完成出色;为困难群众救助提供了坚实资金保障;二是保障了救助资金发放的合规与及时。发现的主要问题及原因:产出指标中救助资金发放的部分流程还需优化,以提高合规性和及时性。下一步改进措施:优化救助资金发放流程,提高发放的合规性和及时性。困难群众救助资金项目绩效自评情况:该项目自评得分96.67分,经济成本控制额达到预期目标,资金发放及时合规,效益指标完成较好,受益对象满意度较高。
12.“老年助残服务补助资金进行二次分配”项目绩效自评情况:根据年初设定的绩效目标,项目绩效自评得分为95.32分。项目全年预算数为7.8万元,执行数为7.8万元,完成预算的100%。项目绩效目标完成情况:一是成本指标完成情况较好,资金利用率达100%,为老年助残服务提供了成本保障。二是产出指标表现良好,支出合规性及资金发放及时。发现的主要问题及原因:一是效益指标中,提高老年助残服务点生活水平及服务群众能力方面离目标还有差距;二是资金使用在促进效益提升方面的效能还有提升空间。下一步改进措施:一是深入调研老年助残服务点需求,优化补助资金使用方向;二是探索老年助残服务与生态保护等相关工作的结合点,挖掘生态效益关联作用,进一步提升资金使用效能。老年助残服务补助资金进行二次分配项目绩效自评情况:该项目自评得分95.32分,资金利用率达到100%,资金发放及时合规,提高了老年助残服务点的生活水平,群众满意度较高。
13.“社区办公经费”项目绩效自评情况:根据年初设定的绩效目标,项目绩效自评得分为96.7分。项目全年预算数为5万元,执行数为5万元,完成预算的100%。项目绩效目标完成情况:一是成本指标完成良好,为社区办公提供了有力资金支持;二是,经费报账及时,保障了资金使用的及时性。发现的主要问题及原因:社区在经费使用的细节规范上还有欠缺,对经费使用规定的学习和执行不够到位。下一步改进措施:一是加强对社区经费使用人员的培训,深入讲解经费使用规定,确保经费使用合规。社区办公经费项目绩效自评情况:该项目自评得分96.7分,资金补助标准达到100%,经费报账及时,资金发放合规,有效提高了基层治理能力,群众满意度较高。
14.“四季度福彩公益金”项目绩效自评情况:根据年初设定的绩效目标,项目绩效自评得分为94.66分。项目全年预算数为0.43万元,执行数为0.43万元,完成预算的100%。项目绩效目标完成情况:一是成本指标完成较好,经济成本、社会成本均达到预期目标,为福彩公益金相关工作开展提供了资金保障;二是产出指标完成良好,保障了工作的质量和及时性。发现的主要问题及原因:资金使用在促进效益提升方面的效能还有提升空间。下一步改进措施:一是优化福彩公益金的使用方式,加大对能更好推动经济、社会和生态效益提升的领域或对象的投入,加强对公益金使用效果的跟踪评估,及时调整使用策略,提升资金使用效能。四季度福彩公益金项目绩效自评情况:该项目自评得分94.66分,经济成本控制率达到100%,各项效益指标均已达到预期目标,群众满意度较高。
15.“位奇镇保险及车补追加资金”项目绩效自评情况:根据年初设定的绩效目标,项目绩效自评得分为89.9分。项目全年预算数为13.12万元,执行数为13.12万元,完成预算的100%。项目绩效目标完成情况:一是成本指标方面完成较好,为保险及车补工作开展提供了成本保障;二是产出指标表现较好,资金支付及时率、合规率达100%,保障了资金支付的及时性和合规性。发现的主要问题及原因:一是资金在实际使用分配上与预期规划存在偏差,对投资金额的把控不足;二是部分效益指标的实际完成值距离目标有差距。下一步改进措施:一是加强资金使用规划,严格按照年度指标把控投资金额,确保资金使用符合预期;二是深入分析资金与效益提升的关联性,优化资金使用方式,充分发挥资金对效益提升的促进作用。位奇镇保险及车补追加资金项目绩效自评情况:该项目自评得分89.9分,资金发放及时合规,保障机构正常运转的影响程度明显,受益对象满意度较高。
16.“位奇镇环境整治及河道治理资金”项目绩效自评情况:根据年初设定的绩效目标,项目绩效自评得分为98分。项目全年预算数为65万元,执行数为65万元,完成预算的100%。项目绩效目标完成情况:一是成本指标达成良好,为环境整治及河道治理工作提供了有力成本支持;二是产出指标表现优异,资金发放完成率、发放标准符合率及发放及时性均达100%,保障了资金发放工作的高效、规范开展。发现的主要问题及原因:效益指标中对群众生活生产的改善或提升程度离目标还有差距。下一步改进措施:在后续环境整治及河道治理工作中,更加注重工作的深度和全面性,加大对群众生活生产、各环节衔接及环境整体提升的推动力度。位奇镇环境整治及河道治理资金项目绩效自评情况:该项目自评得分98分,项目成本控制率达到100%,资金发放及时合规,有效改善了群众生产生活水平,提升了周边生态环境,群众满意度较高。
17.“乡镇困难补助”项目绩效自评情况:根据年初设定的绩效目标,项目绩效自评得分为100分。项目全年预算数为45万元,执行数为45万元,完成预算的100%。项目绩效目标完成情况:一是成本指标完成出色,经济效益、社会收益及成本相关实际完成值均达预期,为乡镇困难补助提供了坚实成本保障;二是产出指标表现优异,保障了补助工作的数量、质量和及时开展。发现的主要问题及原因:整体项目各指标完成情况良好,暂未发现明显问题。下一步改进措施:继续保持当前良好的工作态势,推动乡镇困难补助工作持续高效推进。乡镇困难补助项目绩效自评情况:该项目自评得分100分,经济成本控制率达到100%,资金发放及时合规,有效提升了困难群众的生活水平,群众满意度较高。
18.“遗属生活补助及工伤保险”项目绩效自评情况:根据年初设定的绩效目标,项目绩效自评得分为84.95分。项目全年预算数为0.78万元,执行数为0.78万元,完成预算的100%。项目绩效目标完成情况:一是成本指标完成情况较好,为遗属生活补助及工伤保险工作开展提供了成本保障。二是产出指标中资金发放合规及时。发现的主要问题及原因:产出指标中符合条件人员的排查和纳入不够全面。下一步改进措施:加强对符合遗属生活补助及工伤保险条件人员的排查和纳入工作,拓展人员覆盖范围,确保覆盖人数达标。遗属生活补助及工伤保险项目绩效自评情况:该项目自评得分84.95分,经济成本控制额达到预期目标,资金发放及时合规,有效保障了人员保险按时缴纳,受益对象满意度较高。
19.“追加人员工资、津贴及车补”项目绩效自评情况:根据年初设定的绩效目标,项目绩效自评得分为98.67分。项目全年预算数为10.66万元,执行数为10.66万元,完成预算的100%。项目绩效目标完成情况:一是成本指标均达预期目标,提供了坚实资金保障;二是资金支出及时率、发放合规率达100%,保障了资金支出的及时性,发放的合规性。发现的主要问题及原因:津贴及车补发放的部分细节规范上还有欠缺,对发放规定的学习和执行不够到位。下一步改进措施:加强对工资、津贴及车补发放人员的培训,深入讲解发放规定,确保发放合规性达标。追加人员工资、津贴及车补项目绩效自评情况:该项目自评得分98.67分,经济成本控制率达到100%,资金发放及时合规,保障了人员工资正常发放,受益对象满意度较高。
20.“追加信访工作经费”项目绩效自评情况:根据年初设定的绩效目标,项目绩效自评得分为94.66分。项目全年预算数为2万元,执行数为2万元,完成预算的100%。项目绩效目标完成情况:一是保障了信访工作经费需求,资金使用及时且有效;二是通过该经费的支持,有效化解了一批信访矛盾,维护了社会和谐发展。发现的主要问题及原因:在社会效益和经济效益的发挥上,虽有成效,但与“好”的预期目标存在一定差距。下一步改进措施:加强对信访工作经费使用情况的宣传和总结,充分体现其社会效益和经济效益。追加信访工作经费项目绩效自评情况:该项目自评得分94.66分,经济成本控制率达到100%,资金发放及时合规,各项指标均已完成预期目标,群众满意度较高。
21.“追加退休人员及统发人员工资差额”项目绩效自评情况:根据年初设定的绩效目标,项目绩效自评得分为85.6分。项目全年预算数为4.30万元,执行数为4.30万元,完成预算的100%。项目绩效目标完成情况:一是保障了相关人员工资差额的资金需求,资金支出及时率达100%;二是在一定程度上提高了退休人员的幸福感与生活保障。发现的主要问题及原因:在提高退休人员幸福感和生态环境效益方面与预期有差距。下一步改进措施:加大宣传力度,制定更精准的措施,提高工作成效。追加退休人员及统发人员工资差额项目绩效自评情况:该项目自评得分85.6分,经济成本控制额达到预期目标,资金发放及时合规,有效提高了退休人员生活保障,受益对象满意度较高。
22.“村级互助幸福院省级补助资金”项目绩效自评情况:根据年初设定的绩效目标,项目绩效自评得分为97.47分。项目全年预算数为24万元,执行数为24万元,完成预算的100%。项目绩效目标完成情况:改善了农村留守老人、空巢老人的生活环境,丰富了老人们的精神文化生活。发现的主要问题及原因:资金审批流程的各环节之间衔接不够紧密,导致审批时间有所延长。下一步改进措施:进一步优化资金审批流程,明确各审批环节的责任主体和时间限制,加强各部门之间的沟通与协作,确保资金能够快速、及时地拨付到位。村级互助幸福院省级补助资金项目绩效自评情况:该项目自评得分97.47分,经济成本控制率达到100%,资金发放及时合规,提升了农村养老幸福指数,群众满意度较高。
23.“2024年村干部体检和意外伤害险经费”项目绩效自评情况:根据年初设定的绩效目标,项目绩效自评得分为98.6分。项目全年预算数为2.72万元,执行数为2.72万元,完成预算的100%。项目绩效目标完成情况:一是完成了村干部体检及意外伤害保险相关工作,承保及预防率达90%;二是通过该项目,村干部服务群众的意识显著增强,村干部健康保障也显著增强。发现的主要问题及原因:在社会效益指标方面,村干部服务群众意识的提升效果与预期存在一定差距。下一步改进措施:加大对村干部服务群众意识的宣传培训力度,强化村干部为群众服务的理念。2024年村干部体检和意外伤害险经费项目绩效自评情况:该项目自评得分98.6分,经济成本控制额达到预期目标,资金发放及时合规,提升了村干部服务群众的意识,有效保障了村干部健康,受益对象满意度较高。
三、部门重点绩效评价结果
总体来看,2024年度本部门组织实施的23个一般公共预算项目执行率好,完成了项目年初设定的各项预期目标,整体支出和项目支出绩效自评表见附件。
第五部分 名词解释
一、财政拨款收入:指本年度从同级财政部门取得的财政拨款,包括一般公共预算财政拨款、政府性基金预算财政拨款和国有资本经营预算财政拨款。
二、事业收入:指事业单位开展专业业务活动及其辅助活动取得的收入。
三、经营收入:指事业单位在专业业务活动及其辅助活动之外开展非独立核算经营活动取得的收入。
四、其他收入:指除上述“财政拨款收入”“事业收入”、“经营收入”以外的收入。
五、使用非财政拨款结余(含专用结余):指事业单位按照预算管理要求使用非财政拨款结余弥补收支差额的金额,以及使用专用结余安排支出的金额。
六、年初结转和结余:指单位上年结转至本年使用的基本支出结转、项目支出结转和结余、经营结余。
七、结余分配:指单位按照会计制度规定缴纳的所得税、提取的专用结余以及转入非财政拨款结余的金额等。
八、年末结转和结余:指单位按有关规定结转到下年的基本支出结转、项目支出结转和结余、经营结余。
九、基本支出:指为保障机构正常运转、完成日常工作任务而发生的人员经费和公用经费。
十、项目支出:指在基本支出之外为完成特定行政任务或事业发展目标所发生的支出。
十一、经营支出:指事业单位在专业业务活动及其辅助活动之外开展非独立核算经营活动发生的支出。
十二、“三公”经费:指用一般公共预算财政拨款安排的因公出国(境)费、公务用车购置及运行维护费、公务接待费。其中,因公出国(境)费反映单位公务出国(境)的国际旅费、国外城市间交通费、住宿费、伙食费、培训费、公杂费等支出;公务用车购置费反映单位公务用车购置支出(含车辆购置税);公务用车运行维护费反映单位按规定保留的公务用车燃料费、维修费、过路过桥费、保险费、安全奖励费用等支出;公务接待费反映单位按规定开支的各类公务接待(含外宾接待)支出。
十三、机关运行经费:为保障行政单位(含参照公务员法管理的事业单位)运行用于购买货物和服务等的各项公用经费,包括办公及印刷费、邮电费、差旅费、会议费、福利费、日常维护费、专用材料及一般设备购置费、办公用房水电费、办公用房取暖费、办公用房物业管理费、公务用车运行维护费以及其他费用。
十四、社会保障和就业支出(类)行政事业单位养老支出(款)机关事业单位基本养老保险缴费支出(项):反映机关事业单位实施养老保险制度由单位缴纳的基本养老保险支出。
十五、一般公共服务支出(类)财政事务(款)行政运行(项):反映行政单位(包括实行公务员管理的事业单位)的基本支出。
十六、一般公共服务支出(类)财政事务(款)其他财政事务支出(项):反映除上述项目以外其他财政事务方面的支出。
十七、一般公共服务支出(类)政府办公厅(室)及相关机构事务支出(款)其他政府办公厅(室)及相关机构事务支出(项):反映除上述项目以外的其他政府办公厅(室)及相关机构事务支出。
十八、社会保障和就业支出(类)行政事业单位养老支出(款)行政单位离退休(项):反映行政单位(包括实行公务员管理的事业单位)开支的离退休经费。
十九、社会保障和就业支出(类)残疾人事业(款)其他残疾人事业支出(项):反映除上述项目以外其他用于残疾人事业方面的支出。
二十、社会保障和就业支出(类)其他社会保障和就业支出(款)其他社会保障和就业支出(项):反映除上述项目以外其他用于社会保障和就业方面的支出。
二十一、住房保障支出(类)住房改革支出(款)住房公积金(项):反映行政事业单位按人力资源和社会保障部、财政部规定的基本工资和津贴补贴以及规定比例为职工缴纳的住房公积金。
二十二、卫生健康支出(类)行政事业单位医疗(款)行政单位医疗(项):反映财政部门安排的行政单位(包括实行公务员管理的事业单位)基本医疗保险缴费经费,未参加医疗保险的行政单位的公费医疗经费,按国家规定享受离休人员、红军老战士待遇人员的医疗经费。
二十三、卫生健康支出(类)行政事业单位医疗(款)公务员医疗补助(项):反映财政部门安排的公务员医疗补助经费。
二十四、卫生健康支出(类)公共卫生(款)突发公共卫生事件应急处置(项):反映用于突发公共卫生事件应急处置方面的支出。
二十五、节能环保支出(类)自然生态保护(款)生态保护(项):反映用于生态功能区、生态示范区、生态省(市、县)管理及能力建设、日常管护、宣教、试点示范等支出,生态修复支出,资源开发生态监管支出,生态护林员的劳务报酬等支出。
二十六、节能环保支出(类)自然生态保护(款)农村环境保护(项):反映用于农村环境保护方面的支出。有关事项包括:农村环境综合整治,如生活垃圾、污水处理,农村饮用水源地监测与保护等;小城镇环境保护,如小城镇环境保护能力建设及环境基础设施建设,环境优美乡镇及生态村创建等;农用化学品(化肥、农药、农膜等)污染防治、畜禽养殖污染防治、土壤污染防治;农产品产地环境监测与监管,有机食品基地建设与管理,秸秆等农业废弃物综合利用;农村环境保护能力建设、宣教、试点示范等。
二十七、农林水支出(类)农业农村(款)农业农村社会事业(项):反映用于农村社会事业发展的支出。
二十八、农林水支出(类)水利(款)抗旱(项):反映抗旱业务支出。有关事项包括旱情监测及报旱,抗旱预案编制修订,抗旱物资购置管护,抗旱设施设备运行维护,抗旱应急水源建设以及对各级抗旱服务组织的补助等。
二十九、农林水支出(类)巩固拓展脱贫攻坚成果衔接乡村振兴(款)农村基础设施建设(项):反映用于农村欠发达地区乡村道路、住房、基本农田、水利设施、人畜饮水、生态环境保护等生产生活条件改善方面的支出。
三十、农林水支出(类)农村综合改革(款)对村民委员会和村党支部的补助(项):反映各级财政对村民委员会和村党支部的补助支出,以及支持建立县级基本财力保障机制安排的村级组织运转奖补资金。
三十一、农林水支出(类)农村综合改革(款)其他农村综合改革支出(项):反映上述项目以外其他用于农村综合改革方面的支出。
三十二、灾害防治及应急管理支出(类)自然灾害防治(款)地质灾害防治(项):反映防治地质灾害方面的支出。
三十三、其他支出(类)彩票公益金安排的支出(款)用于社会福利的彩票公益金支出(项):反映用于其他社会公益事业的彩票公益金支出。
扫一扫在手机打开当前页面